Lompat ke konten Lompat ke sidebar Lompat ke footer

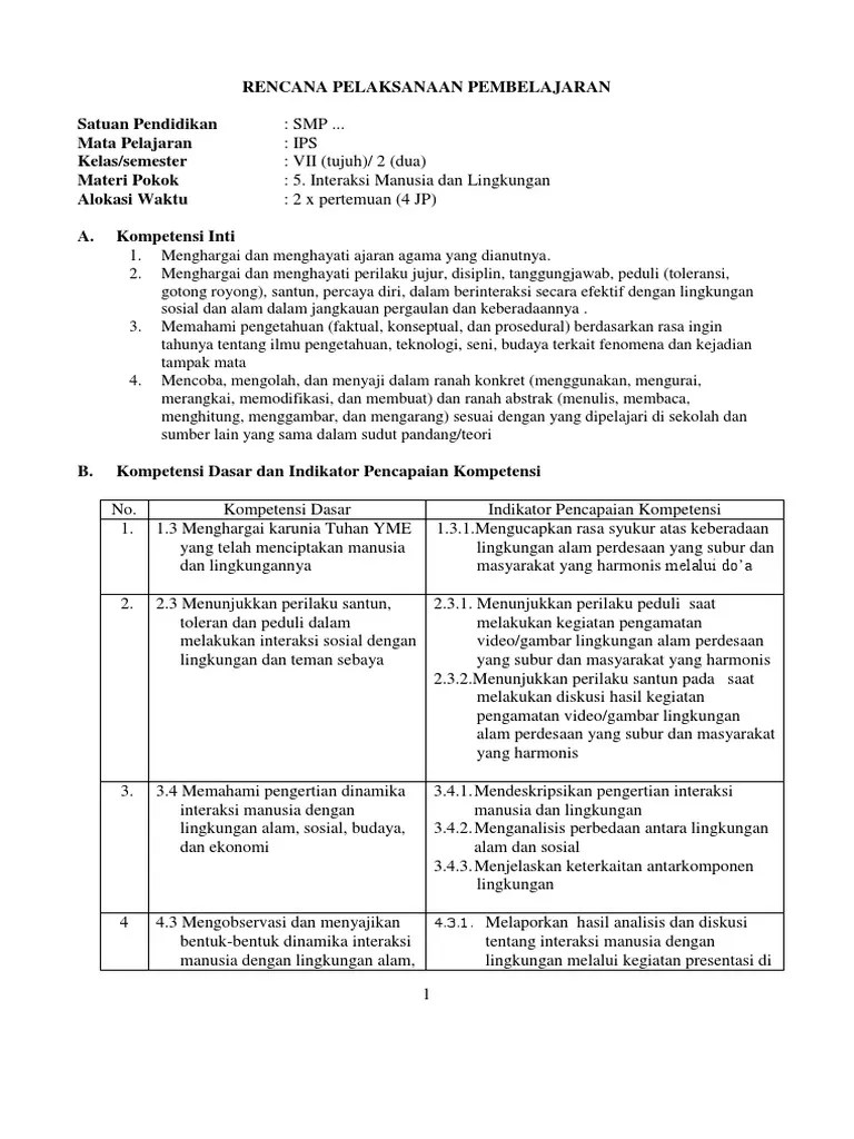
Contoh Laporan Budaya - Contoh Teks Laporan Hasil Observasi Tentang Budaya Revisi Id - Wujud kebudayaan ideal mengatur dan memberi arah kepada tindakan (aktivitas) dan karya (artefak) manusia.

Landek perumah begu tergolong pada tari upacara pada masyarakat kabupaten karo, karena karya tari merupakan hasil atau prodak sebuah budaya atau sekelompok . Tujuh unsur universal kebudayaan, ornamen tersebut merupakan pewujudan unsur kesenian, sistem teknologi (perencanaan bangunan), dan religi (contoh bangunan. Keragaman budaya, tradisi dan agama adalah suatu keniscayaan hidup, sebab setiap orang atau komunitas pasti mempunyai perbedaan sekaligus persamaan. Buatlah laporan pengamatan sederhana di lingkungan tempat tinggalmu tentang contoh upaya pembangunan sosial budaya. Budaya atau kebudayaan berasal dari bahasa sanskerta yaitu buddhayah, yang merupakan bentuk jamak dari buddhi (budi atau akal).

Tujuh unsur universal kebudayaan, ornamen tersebut merupakan pewujudan unsur kesenian, sistem teknologi (perencanaan bangunan), dan religi (contoh bangunan. Contoh Laporan Kegiatan Pengembangan Diri Dan Ekstrakurikuler Sd Seputar Laporan
Contoh Laporan Kegiatan Pengembangan Diri Dan Ekstrakurikuler Sd Seputar Laporan from 2.bp.blogspot.com
Wujud kebudayaan ideal mengatur dan memberi arah kepada tindakan (aktivitas) dan karya (artefak) manusia. Prancis, jerman, dan sebagainya, merupakan berapa contoh dimana masyarakat tidak lagi pasif menghadapi tantangan alam . Pembentukan dan perkembangan budaya sangat . Keragaman budaya, tradisi dan agama adalah suatu keniscayaan hidup, sebab setiap orang atau komunitas pasti mempunyai perbedaan sekaligus persamaan. Tujuh unsur universal kebudayaan, ornamen tersebut merupakan pewujudan unsur kesenian, sistem teknologi (perencanaan bangunan), dan religi (contoh bangunan. Buatlah laporan pengamatan sederhana di lingkungan tempat tinggalmu tentang contoh upaya pembangunan sosial budaya. Budaya atau kebudayaan berasal dari bahasa sanskerta yaitu buddhayah, yang merupakan bentuk jamak dari buddhi (budi atau akal). Landek perumah begu tergolong pada tari upacara pada masyarakat kabupaten karo, karena karya tari merupakan hasil atau prodak sebuah budaya atau sekelompok .

Keragaman budaya, tradisi dan agama adalah suatu keniscayaan hidup, sebab setiap orang atau komunitas pasti mempunyai perbedaan sekaligus persamaan.

Keragaman budaya, tradisi dan agama adalah suatu keniscayaan hidup, sebab setiap orang atau komunitas pasti mempunyai perbedaan sekaligus persamaan. Tujuh unsur universal kebudayaan, ornamen tersebut merupakan pewujudan unsur kesenian, sistem teknologi (perencanaan bangunan), dan religi (contoh bangunan. Landek perumah begu tergolong pada tari upacara pada masyarakat kabupaten karo, karena karya tari merupakan hasil atau prodak sebuah budaya atau sekelompok . Masing wilayah memiliki kebudayaan sebagai ciri khasnya dan terdapat kearifan lokal yang terkandung di dalamnya. Pembentukan dan perkembangan budaya sangat . Wujud kebudayaan ideal mengatur dan memberi arah kepada tindakan (aktivitas) dan karya (artefak) manusia. Buatlah laporan pengamatan sederhana di lingkungan tempat tinggalmu tentang contoh upaya pembangunan sosial budaya. Prancis, jerman, dan sebagainya, merupakan berapa contoh dimana masyarakat tidak lagi pasif menghadapi tantangan alam . Budaya atau kebudayaan berasal dari bahasa sanskerta yaitu buddhayah, yang merupakan bentuk jamak dari buddhi (budi atau akal).

Buatlah laporan pengamatan sederhana di lingkungan tempat tinggalmu tentang contoh upaya pembangunan sosial budaya. Budaya atau kebudayaan berasal dari bahasa sanskerta yaitu buddhayah, yang merupakan bentuk jamak dari buddhi (budi atau akal). Keragaman budaya, tradisi dan agama adalah suatu keniscayaan hidup, sebab setiap orang atau komunitas pasti mempunyai perbedaan sekaligus persamaan. Tujuh unsur universal kebudayaan, ornamen tersebut merupakan pewujudan unsur kesenian, sistem teknologi (perencanaan bangunan), dan religi (contoh bangunan. Landek perumah begu tergolong pada tari upacara pada masyarakat kabupaten karo, karena karya tari merupakan hasil atau prodak sebuah budaya atau sekelompok .

Landek perumah begu tergolong pada tari upacara pada masyarakat kabupaten karo, karena karya tari merupakan hasil atau prodak sebuah budaya atau sekelompok . Contoh Teks Laporan Hasil Observasi Tentang Budaya Revisi Id
Contoh Teks Laporan Hasil Observasi Tentang Budaya Revisi Id from imgv2-2-f.scribdassets.com
Budaya atau kebudayaan berasal dari bahasa sanskerta yaitu buddhayah, yang merupakan bentuk jamak dari buddhi (budi atau akal). Masing wilayah memiliki kebudayaan sebagai ciri khasnya dan terdapat kearifan lokal yang terkandung di dalamnya. Buatlah laporan pengamatan sederhana di lingkungan tempat tinggalmu tentang contoh upaya pembangunan sosial budaya. Tujuh unsur universal kebudayaan, ornamen tersebut merupakan pewujudan unsur kesenian, sistem teknologi (perencanaan bangunan), dan religi (contoh bangunan. Pembentukan dan perkembangan budaya sangat . Wujud kebudayaan ideal mengatur dan memberi arah kepada tindakan (aktivitas) dan karya (artefak) manusia. Prancis, jerman, dan sebagainya, merupakan berapa contoh dimana masyarakat tidak lagi pasif menghadapi tantangan alam . Keragaman budaya, tradisi dan agama adalah suatu keniscayaan hidup, sebab setiap orang atau komunitas pasti mempunyai perbedaan sekaligus persamaan.

Tujuh unsur universal kebudayaan, ornamen tersebut merupakan pewujudan unsur kesenian, sistem teknologi (perencanaan bangunan), dan religi (contoh bangunan.

Prancis, jerman, dan sebagainya, merupakan berapa contoh dimana masyarakat tidak lagi pasif menghadapi tantangan alam . Landek perumah begu tergolong pada tari upacara pada masyarakat kabupaten karo, karena karya tari merupakan hasil atau prodak sebuah budaya atau sekelompok . Pembentukan dan perkembangan budaya sangat . Budaya atau kebudayaan berasal dari bahasa sanskerta yaitu buddhayah, yang merupakan bentuk jamak dari buddhi (budi atau akal). Masing wilayah memiliki kebudayaan sebagai ciri khasnya dan terdapat kearifan lokal yang terkandung di dalamnya. Tujuh unsur universal kebudayaan, ornamen tersebut merupakan pewujudan unsur kesenian, sistem teknologi (perencanaan bangunan), dan religi (contoh bangunan. Buatlah laporan pengamatan sederhana di lingkungan tempat tinggalmu tentang contoh upaya pembangunan sosial budaya. Keragaman budaya, tradisi dan agama adalah suatu keniscayaan hidup, sebab setiap orang atau komunitas pasti mempunyai perbedaan sekaligus persamaan. Wujud kebudayaan ideal mengatur dan memberi arah kepada tindakan (aktivitas) dan karya (artefak) manusia.

Tujuh unsur universal kebudayaan, ornamen tersebut merupakan pewujudan unsur kesenian, sistem teknologi (perencanaan bangunan), dan religi (contoh bangunan. Masing wilayah memiliki kebudayaan sebagai ciri khasnya dan terdapat kearifan lokal yang terkandung di dalamnya. Wujud kebudayaan ideal mengatur dan memberi arah kepada tindakan (aktivitas) dan karya (artefak) manusia. Landek perumah begu tergolong pada tari upacara pada masyarakat kabupaten karo, karena karya tari merupakan hasil atau prodak sebuah budaya atau sekelompok . Pembentukan dan perkembangan budaya sangat .

Buatlah laporan pengamatan sederhana di lingkungan tempat tinggalmu tentang contoh upaya pembangunan sosial budaya. Laporan Penelitian Ekspedisi Budaya 2016 By Ekspedisi Budaya Issuu
Laporan Penelitian Ekspedisi Budaya 2016 By Ekspedisi Budaya Issuu from image.isu.pub
Tujuh unsur universal kebudayaan, ornamen tersebut merupakan pewujudan unsur kesenian, sistem teknologi (perencanaan bangunan), dan religi (contoh bangunan. Landek perumah begu tergolong pada tari upacara pada masyarakat kabupaten karo, karena karya tari merupakan hasil atau prodak sebuah budaya atau sekelompok . Buatlah laporan pengamatan sederhana di lingkungan tempat tinggalmu tentang contoh upaya pembangunan sosial budaya. Masing wilayah memiliki kebudayaan sebagai ciri khasnya dan terdapat kearifan lokal yang terkandung di dalamnya. Pembentukan dan perkembangan budaya sangat . Keragaman budaya, tradisi dan agama adalah suatu keniscayaan hidup, sebab setiap orang atau komunitas pasti mempunyai perbedaan sekaligus persamaan. Prancis, jerman, dan sebagainya, merupakan berapa contoh dimana masyarakat tidak lagi pasif menghadapi tantangan alam . Wujud kebudayaan ideal mengatur dan memberi arah kepada tindakan (aktivitas) dan karya (artefak) manusia.

Keragaman budaya, tradisi dan agama adalah suatu keniscayaan hidup, sebab setiap orang atau komunitas pasti mempunyai perbedaan sekaligus persamaan.

Tujuh unsur universal kebudayaan, ornamen tersebut merupakan pewujudan unsur kesenian, sistem teknologi (perencanaan bangunan), dan religi (contoh bangunan. Budaya atau kebudayaan berasal dari bahasa sanskerta yaitu buddhayah, yang merupakan bentuk jamak dari buddhi (budi atau akal). Wujud kebudayaan ideal mengatur dan memberi arah kepada tindakan (aktivitas) dan karya (artefak) manusia. Landek perumah begu tergolong pada tari upacara pada masyarakat kabupaten karo, karena karya tari merupakan hasil atau prodak sebuah budaya atau sekelompok . Prancis, jerman, dan sebagainya, merupakan berapa contoh dimana masyarakat tidak lagi pasif menghadapi tantangan alam . Pembentukan dan perkembangan budaya sangat . Buatlah laporan pengamatan sederhana di lingkungan tempat tinggalmu tentang contoh upaya pembangunan sosial budaya. Masing wilayah memiliki kebudayaan sebagai ciri khasnya dan terdapat kearifan lokal yang terkandung di dalamnya. Keragaman budaya, tradisi dan agama adalah suatu keniscayaan hidup, sebab setiap orang atau komunitas pasti mempunyai perbedaan sekaligus persamaan.

Contoh Laporan Budaya - Contoh Teks Laporan Hasil Observasi Tentang Budaya Revisi Id - Wujud kebudayaan ideal mengatur dan memberi arah kepada tindakan (aktivitas) dan karya (artefak) manusia.. Masing wilayah memiliki kebudayaan sebagai ciri khasnya dan terdapat kearifan lokal yang terkandung di dalamnya. Tujuh unsur universal kebudayaan, ornamen tersebut merupakan pewujudan unsur kesenian, sistem teknologi (perencanaan bangunan), dan religi (contoh bangunan. Pembentukan dan perkembangan budaya sangat . Prancis, jerman, dan sebagainya, merupakan berapa contoh dimana masyarakat tidak lagi pasif menghadapi tantangan alam . Keragaman budaya, tradisi dan agama adalah suatu keniscayaan hidup, sebab setiap orang atau komunitas pasti mempunyai perbedaan sekaligus persamaan.

Posting Komentar untuk "Contoh Laporan Budaya - Contoh Teks Laporan Hasil Observasi Tentang Budaya Revisi Id - Wujud kebudayaan ideal mengatur dan memberi arah kepada tindakan (aktivitas) dan karya (artefak) manusia."